

全國免費客服電話 0519-86578911 郵箱:wokclutch@aliyun.com
手機:13506119400
電話:0519-86578911
地址:常州新北區禾佳路9號
FDC單向內芯結構簡圖產品特性及說明1.本公司FDC型號為楔塊保持器單向離合器,但不含內圈和外圈。結構形式如圖所示,其扭矩大,噪音小,安裝方便。2.此型號必須配合客戶之自行設計的內圈及外圈,軸承支撐軸向及徑向的負載,潤滑油脂及油封。3.楔塊接觸面之空間公差必須在范圍內,外圈與內圈之接觸面的寬度不可小于尺寸"e",接觸面不可有任何溝槽以確保功能正常。4.原廠可提供標準式的內圈與外
產品詳情

FDC單向內芯結構簡圖

產品特性及說明
1.本公司FDC型號為楔塊保持器單向離合器,但不含內圈和外圈。結構形式如圖所示,其扭矩大,噪音小,安裝方便。
2.此型號必須配合客戶之自行設計的內圈及外圈,軸承支撐軸向及徑向的負載,潤滑油脂及油封。
3.楔塊接觸面之空間公差必須在范圍內,外圈與內圈之接觸面的寬度不可小于尺寸"e",接觸面不可有任何溝槽以確保功能正常。
4.原廠可提供標準式的內圈與外圈。
5.若自行制造經硬化處理過的鋼制軸心及工件機壁直接套入,請參考以下之表面硬度規格。
6.研磨加工處理過的接觸面硬度為HRC60~62°硬化深度必須大于0.6mm。
7.接觸面之內部硬度為HRC35~45°,接觸面之表面光滑度須小于22CLA,接觸面可接受的外斜度在25mm與0.007之間。
1.Type FDC is a sprag type freewheel cage without inner or outer races. It’s model and construction is followed for, this type provides higher torque and lower noise while fixed convenient.
2.It must be installed in a design providing races, bearing support for axial and radial loads, lubrication and sealing.
3.The sprag space tolerance must not be exceeded. Inner and outer races must both have a minimum plain width“e”, without any recess, to ensure the freewheel functions correctly as shown on following pages.
4.We can offer standard inner and outer races, as shown on the following pages.
5.Alternatively, races can be made in case hardened steel shafts, or housings, to the specification below.
6.Surface hardness of the finished pargt should be HRC 60 to 62°, for a depth of 0.6mm minimum.
7.Core hardness to be HRC 35 to 45°. Surface roughness not to exceed 22CLA . Maximum taper between races:0.007mm for25mm Width.

FDC單向內芯安裝簡圖
使用維護保養說明(Using notice)
使用潤滑油脂2#鋰基脂30%+ 70%機油充分攪拌均勻,油脂要求溫度范圍-40℃~+150℃。正常使用情況下每個月加一次潤滑脂。
Use 2 # lithium grease 30% + Engine oil 70% , Stirring evenly. grease the required temperature range -40 ℃ ~ + 150 ℃. Plus grease once for every month.
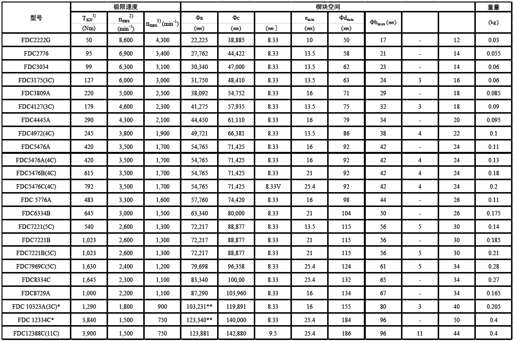
備注說明
1)Tmax=2.5×TKN
2)內圈極限運轉速度
3)外圈極限運轉速度
**)公差加大為±0.013
可依客戶規格定制,歡迎咨詢
牽引彈簧和夾子數量可按要求生產
Notes
1)Tmax=2.5×TKN
2)Inner race overruns
3)Outer race overruns
**)Extension of tolerance to ±0.013 Permissible
Other dimensions on request NO, of drag strip and clips may be produced on regnest
相關推薦